Vitamin K
Vitamin K1
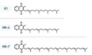
Vitamin K is a group of structurally similar, fat-soluble vitamins the human body requires for complete synthesis of certain proteins that are prerequisites for blood coagulation and which the body also needs for controlling binding of calcium in bones and other tissues. The vitamin K-related modification of the proteins allows them to bind calcium ions, which they cannot do otherwise. Without vitamin K, blood coagulation is seriously impaired, and uncontrolled bleeding occurs. Preliminary clinical research indicates that deficiency of vitamin K may weaken bones, potentially leading to osteoporosis, and may promote calcification of arteries and other soft tissues.
SKU: vit-k
Please select remedy Form, Size and Potency below, and then add to basket.
Valitettavasti tätä hoitovalmistetta ei ole saatavana äititinktuurana.
Olemme valitettavasti keskeyttäneet toimitukset tilapäisesti maahan Germany.
Lähetä sähköpostia osoitteeseen order@helios.co.uk saadaksesi lisätietoja.

